본문 바로가기
CS/알고리즘

이진 탐색 트리

by iOS 개린이 2024. 8. 6.

Binary search trees(BST)

  • 이진 트리의 한 종류
  • 각 노드에 대해, 해당 노드의 왼쪽 서브트리에 있는 모든 값은 노드의 값보다 작고,
  • 오른쪽 서브트리에 있는 모든 값은 노드의 값보다 크다는 특성을 가지고 있음

https://leetcode.com/

 

  • 이진 탐색 트리를 사용하면, 검색, 추가 및 제거와 같은 작업을 평균적으로 O(log n) 시간 안에 수행할 수 있음
  • 위 트리에서 20이 존재하는지 확인해보자
    • 루트부터 시작하여 20은 23보다 작음. -> 오른쪽 서브트리 무시 가능
    • 20 > 8 -> 왼쪽 서브트리 무시 가능
    • 20 > 17 -> 왼쪽 서브트리 무시 가능
    • 오른쪽으로 이동하며, 값 찾음
  • 이 과정의 평균 시간 복잡도는 O(log n)
  • 최악의 경우, 오른쪽 자식이 없는 편향된 트리에서는 O(n)이 소요

 

알아두면 좋은 점

  • BST에서 왼쪽을 우선으로 하는 중위 순회(DFS)를 하면 노드를 정렬된 순서로 처리할 수 있음

 

정리

  • 이진 탐색 트리는 이진 트리의 종류
  • 이진 탐색 트리의 특성은 해당 노드의 왼쪽 서브 트리는 노드보다 작은 값으로, 오른쪽은 노드보다 큰 값으로 이루어짐
  • 평균 시간 복잡도는 O(log n)이며, 편향된 트리일 경우 O(n)이 될 수 있다

 

 

예제 1

  • 이진 탐색 트리의 루트 노드와 두 정수 low, high 이 주어졌을 때,
  • 값이 [low, high] 범위에 포함된 모든 노드의 값의 합을 반환하세요.

 

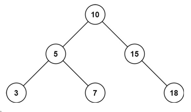
예시 1

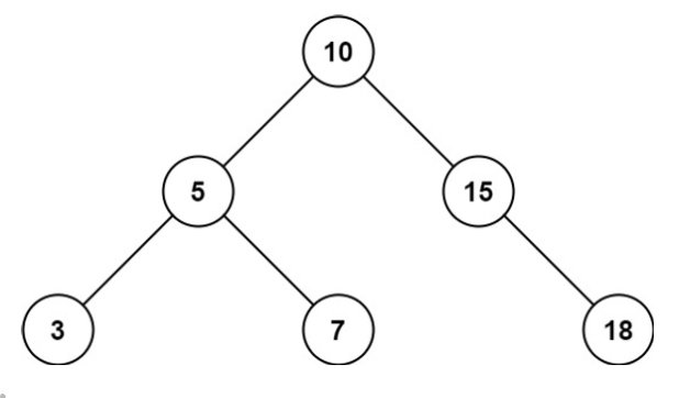
  • root = [10, 5, 15, 3, 7, null, 18], low = 7, high = 15
  • 정답: 32
  • [7, 15] 범위에 포함되어 있는 요소들은 7 + 10 + 15 = 32

 

방법

  • 간단한 방법은 BFS 또는 DFS를 수행하여 모든 노드를 방문하면서 범위 내에 있는 값을 더하는 방법임
  • 하지만 BST의 속성을 활용하여 효율적인 알고리즘 구현이 가능함
    • 현재 노드의 값이 low보다 작을 경우, 왼쪽 서브트리를 확인할 필요가 없음
    • 현재 노드의 값이 high보다 클 경우, 오른쪽 서브트리를 확인할 필요가 없음
  • 이는 BST가 왼쪽 서브트리의 모든 값은 해당 노드의 값보다 작고, 오른쪽은 크다는 특성을 가지고 있기 때문에 가능
class Solution {
    func rangeSumBST(_ root: TreeNode?, _ low: Int, _ high: Int) -> Int {
        guard let root = root else { return 0 }
        var ans = 0
        
        if low <= root.val && root.val <= high {
            ans += root.val
        }
        
        if low < root.val {
            ans += rangeSumBST(root.left)
        }
        
        if high > root.val {
            ans += rangeSumBST(root.right)
        }
        
        return ans
    }
}

 

  • 범위 내에 있는 값은 ans에 추가
  • low보다 해당 노드의 값이 작을 경우
    • → 해당 노드의 왼쪽 서브트리는 low보다 작은 값임
      • → 범위에 벗어나기 때문에 굳이 탐색할 필요가 없다.
  • high보다 해당 노드의 값이 클 경우
    • → 해당 노드의 오른쪽 서브트리는 high보다 큰 값임
      • → 범위에 벗어나기 때문에 굳이 탐색할 필요 없음

 

반복문 사용 예시

class Solution {
    func rangeSumBST(_ root: TreeNode?, _ low: Int, _ high: Int) -> Int {
        guard let root = root else { return 0 }
        
        var ans = 0
        var stack = [root]
        
        while !stack.isEmpty {
            let node = stack.removeLast()
            
            if low <= node.val && node.val <= high {
                ans += node.val
            }
            
            if let left = node.left, low < node.val {
                stack.append(left)
            }
            
            if let right = node.right, node.val < high {
                stack.append(right)
            }
        }
        
        return ans
    }
}

 

  • 모든 노드가 low와 high 사이에 있는 경우 시간 복잡도가 O(n)이지만, 평균적으로 모든 노드를 탐색하는 것보다 효율적임
  • 공간 복잡도는 스택 / 재귀 호출 스택에 대해 O(n)

 

예제 2

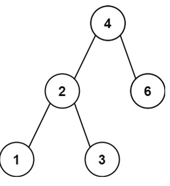
  • 이진 탐색 트리의 루트가 주어졌을 때, 트리의 서로 다른 두 노드의 값 사이의 최소 절대 차이를 반환하세요.

 

예제 1

  • root = [4,2,6,1,3]
  • 정답: 1

 

방법

  • 트리를 순회하여, 배열을 만들고, 배열의 모든 쌍을 반복하여 최소 차이를 찾는 방법이 있음
    • 하지만 시간 복잡도는 O(n^2)임.
  • 더 나은 방법으로 배열을 정렬한 다음 인접 요소들을 반복하는 방법이 있음
    • 정렬된 배열의 인접 요소들 사이에 있기 때문에 O(n * log n)가 소요됨
  • 더 나은 방법은 중위 순회를 사용하는 것임.
    • BST에서 중위 순회를 사용하면, 노드를 정렬된 순서로 방문할 수 있음
    • 이미 노드를 정렬된 순서로 얻을 수 있기 때문에 전체 시간 복잡도는 O(n)임
  • dfs 함수를 만들고, 중위 순회를 통해 정렬된 요소 values를 반환함
class Solution {
    func getMinimumDifference(_ root: TreeNode?) -> Int {
        var values: [Int] = []
        
        func dfs(_ node: TreeNode?) {
            guard let node = node else { return }
            
            dfs(node.left)
            values.append(node.val)
            dfs(node.right)
        }
        
        dfs(root)
        
        var ans = Int.max  // 가장 작은 값을 가져와야 하기 때문
        
        for i in 1 ..< values.count {
            ans = min(ans, values[i] - values[i - 1])
        }
        
        return ans
    }
}

 

  • 시간 복잡도와 공간 복잡도는 O(n)입니다
  • BST의 속성을 이용하여 선형 시간 내에 값을 정렬된 순서로 얻을 수 있다

 

예제 3

  • 이진 트리의 루트가 주어졌을 때, 해당 트리가 유효한 이진 탐색 트리인지 확인하세요.
  • 유효한 BST의 정의는 다음과 같습니다
    • 노드의 왼쪽 서브트리는 해당 노드의 값보다 작은 값을 가진 노드로 구성됩니다.
    • 노드의 오른쪽 서브트리는 해당 노드의 값보다 큰 값을 가진 노드로 구성됩니다.
    • 왼쪽 및 오른쪽 서브트리도 각각 유효한 이진 탐색 트리여야 합니다.

 

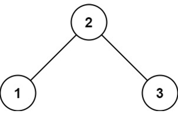
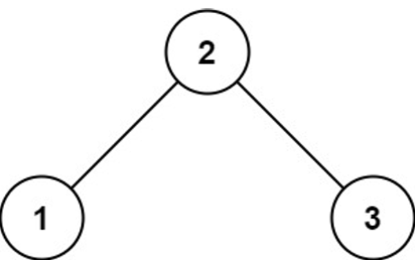
예제 1

  • root = [2, 1, 3]
  • 정답: true

 

방법

  • 재귀를 사용하여, node를 인자로 받고 트리가 BST인지 확인하는 함수 dfs를 만들기
  • 왼쪽 서브트리의 모든 노드는 해당 노드의 값보다 작아야 하고, 오른쪽 서브트리의 모든 노드는 커야 함. 
    • 이는 두 개의 정수 small과 large를 사용하여 small < node.val < large가 성립하도록 할 수 있음
  • small과 large는 어떻게 업데이트 해야할까?
    • 왼쪽 서브트리의 노드는 node.val보다 작아야 하므로 large = node.val로 업데이트 할 수 있음
    • 오른쪽 서브트리의 노드는 node.val보다 커야 하므로 small = node.val로 업데이트 할 수 있음
  • root는 어떤 값이든 가능하기 때문에 small과 large에 대한 초기 값으로는 Int.min과 Int.max를 전달할 수 있음. 
  • 비어있는 트리는 기본적으로 BST가 맞음. -> 현재 노드가 null일 경우 true를 반환할 수 있음
class Solution {
    func isValidBST(_ root: TreeNode?) -> Bool {
        func dfs(_ node: TreeNode?, _ small: Int, _ large: Int) -> Bool {
            guard let node = node else { return true }
            
            if !(small < node.val && node.val < large) {
                return false
            }
            
            let left = dfs(node, small, node.val)
            let right = dfs(node, node.val, large)
            
            return left && right
        }
        
        return dfs(root, Int.min, Int.max)
    }
}

 

  • root는 어느 값이든 될 수 있기 때문에, 초기 small과 large의 책정은 양 극단의 끝 값으로 결정
  • 해당 노드의 값이 small과 large 범위 내에 없다면 유효하지 않음
  • left를 탐색할 때는 해당 노드의 값보다 작은 값들로 구성되어야 하기 때문에 large를 해당 노드의 값으로 업데이트
  • right를 탐색할 때는 해당 노드의 값보다 큰 값으로 구성되어야 하기 때문에 small를 해당 노드의 값으로 업데이트
  • 함수의 반환 조건이 && 연산이라는 것은 모든 서브트리도 BST여야 하는 것을 강제

 

반복문 예시

class Solution {
    func isValidBST(_ root: TreeNode?) -> Bool {
        guard let root = root else { return true }
        
        var stack = [(root, Int.min, Int,max)]
        
        while !stack.isEmpty {
            let (node, small, large) = stack.removeLast()
            
            if !(small < node.val && node.val < large) {
                return false
            }
            
            if let left = node.left {
                stack.append(left, small, node.val)
            }
            
            if let right = node.right {
                stack.append(right, node.val, large)
            }
        }
        
        return true
    }
}
  • 시간 및 공간 복잡도는 O(n)입니다.

 

 

Reference

'CS > 알고리즘' 카테고리의 다른 글

이진 트리 유형 (BFS)  (0) 2024.08.06
이진 트리 유형 (DFS)  (0) 2024.07.31