BFS

- DFS에서는 깊이를 우선시했지만, 너비 우선 탐색(BFS)에서는 너비를 우선시 함
- 노드의 깊이는 루트부터 해당 노드까지의 거리임. 따라서 DFS에서는 리프 노드에 도달할 때까지 탐색했음
- 반면, BFS에서는 다음 깊이로 이동하기 전에 같은 레벨에 있는 모든 노드를 먼저 탐색함
- 예를 들어, 위 트리를 BFS하면 0, 1, 2, 3, 4, 5, 6, 7, 8 순서로 노드를 탐색함
- DFS는 재귀를 사용했지만, BFS는 반복문을 사용함
BFS와 DFS를 언제 사용할까?
- 많은 문제는 모든 노드를 방문하는 것이 중요하기 때문에 DFS, BFS 어떤 것을 사용해도 크게 문제되지 않음
- DFS는 재귀를 사용하기 때문에 코드가 간결하고, 구현이 쉬움
- 하지만 노드를 레벨에 따라 처리하고자 하는 문제에서는 BFS의 사용이 더 적절한 알고리즘임
DFS의 단점
- 값을 찾기 위해 많은 시간을 낭비할 수 있음
- 예를 들어, 큰 트리가 있고, 루트의 오른쪽 자식에 저장된 값을 찾고 있다고 가정해보자
- 그럼 왼쪽 서브트리를 굳이 탐색할 필요없이 오른쪽으로 한 번만 이동하면 끝임
- 하지만 왼쪽을 우선시하는 DFS를 수행할 경우, 전체 왼쪽 서브트리를 탐색하게 되므로 많은 연산이 필요할 수 있음
BFS의 단점
- 찾고자 하는 노드가 아래쪽에 있을 경우, 아래로 내려가기 전 모든 레벨을 탐색해야 함
- 이것이 비효율적인 연산일 수 있다.
공간 복잡도
- DFS는 트리의 높이와 선형적으로 공간을 사용함
- BFS는 레벨 내의 노드와 선형적으로 공간을 사용함
- 더 많은 쪽이 더 많은 공간을 차지함
- 만약 편향된 트리(직선)가 있다면, BFS는 O(1)이지만, DFS는 O(n)이 된다. 하지만 편향된 트리는 드물어요!
BFS 코드 구현
가장 일반적인 BFS 코드
func printAllNodes(_ root: TreeNode?) {
guard let root = root else { return }
var queue: [TreeNode] = [root]
while !queue.isEmpty {
let nodesInCurrentLevel = queue.count
// 현재 레벨에 대한 로직 수행
for _ in 0 ..< nodesInCurrentLevel {
let node = queue.removeFirst()
// 현재 노드에 대한 로직을 수행
print(node.val)
// 다음 레벨을 큐에 넣기
if let leftNode = node.left {
queue.append(leftNode)
}
if let rightNode = node.right {
queue.append(rightNode)
}
}
}
}
- 각 while 루프에서 큐는 현재 레벨의 모든 노드가 포함되어 있음
- 다음 for 루프를 통해 현재 레벨의 모든 노드를 탐색함
- 효율적인 큐를 사용한다고 가정했을 때, dequeue나 enqueue의 연산은 O(1)이므로 BFS의 연산은 O(n) 시간 복잡도를 가진다.
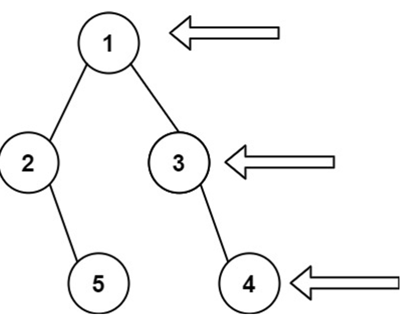
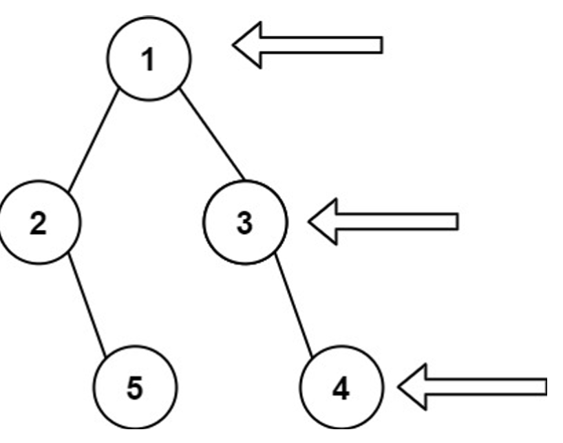
예제 1
- 이진 트리의 루트가 주어졌을 때, 트리의 오른쪽에서 본 것처럼 노드의 값을 위에서 아래로 순서대로 반환하세요.
예시 1

- root = [1, 2, 3, null, 5, null, 4]
- 정답: [1, 3, 4]
방법
- 각 레벨에서 가장 오른쪽에 있는 노드를 구하면 됨
- BFS를 수행하면, 각 while 루프는 전체 레벨의 배열을 가지게 된다.
- 왼쪽 자식을 오른쪽 자식보다 우선하여 탐색하면, 각 반복의 가장 오른쪽에 있는 노드가 해당 값을 가지게 됨
class Solution {
func rightSideView(_ root: TreeNode?) -> [Int] {
guard let root = root else { return [] }
var queue = [root]
var ans: [Int] = []
while !queue.isEmpty {
let nodesInCurrentLevel = queue.count
ans.append(queue[nodesInCurrentLevel - 1].val)
for _ in 0 ..< nodesInCurrentLevel {
let node = queue.removeFirst()
if let left = node.left {
queue.append(left)
}
if let right = node.right {
queue.append(right)
}
}
}
return ans
}
}
- 알고리즘의 시간 및 공간 복잡도는 O(n)
- 각 노드를 한 번만 방문하고, 각 노드에서 일정한 작업을 수행함 (시간)
- 큐는 최대 O(n) 노드를 포함할 수 있음 (공간)
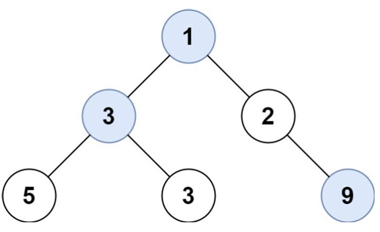
예제 2
- 주어진 이진 트리의 루트를 기준으로, 트리의 각 행(row)에서 가장 큰 값을 배열로 반환하세요.
예시 1

- root = [1, 3, 2, 5, 3, null, 9]
- 정답: [1, 3, 9]
방법
- 이진 트리에서 행은 레벨과 같은 의미.
- 따라서 while 루프는 각 레벨을 나타내는 것과 동일하다.
- 각 레벨에서 가장 큰 값을 찾기 위해 정수 currMax를 사용하여 구현이 가능
class Solution {
func largestValues(_ root: TreeNode?) -> [Int] {
guard let root = root else { return [] }
var queue = [root]
var ans: [Int] = []
while !queue.isEmpty {
let nodesInCurrentLevel = queue.count
var currMax = Int.min
for _ in 0 ..< nodesInCurrentLevel {
let node = queue.removeFirst()
currMax = max(currMax, node.val)
if let left = node.left {
queue.append(left)
}
if let right = node.right {
queue.append(right)
}
}
ans.append(currMax)
}
return ans
}
}
- 시간 및 공간 복잡도는 O(n)임
Reference
'CS > 알고리즘' 카테고리의 다른 글
| 이진 탐색 트리 (0) | 2024.08.06 |
|---|---|
| 이진 트리 유형 (DFS) (0) | 2024.07.31 |